

由于于我國鋰電池正極材料生產所需的鋰、鈷、錳、鎳等金屬資源豐富、消費類電子產品、新能源汽車器下游應用市場迅速擴張,正極材料、負極材料、隔膜及電解液四大關鍵材料的成本占電池成本的八成以上。其中正極材料的成本也占據了鋰離子電池總成本的40%左右。
環境挑戰層面?:單塊20kg的汽車動力電池含鈷、鎳、錳等重金屬達3-5kg,若隨意填埋,1噸電解液中的六氟磷酸鋰水解可產生50kg劇毒氟化氫。而全球每年因電池處理不當導致的土壤重金屬污染面積超過200平方公里。
?資源戰略層面?:鋰電池正極材料中鋰、鈷的回收率每提升1%,相當于減少2000噸原礦開采。而我國鈷資源對外依存度高達97%,鋰資源進口占比70%,構建回收體系具有戰略安全意義。
?政策驅動方面?:歐盟《新電池法》要求2030年鋰回收率須達70%,中國《十四五循環經濟發展規劃》明確電池回收行業產值2025年突破1000億元。全球已有32個國家實施電池生產者責任延伸制度,倒逼回收技術創新。
由此來看,對報廢的鋰電池正負極片活性材料的回收是很有必要的。


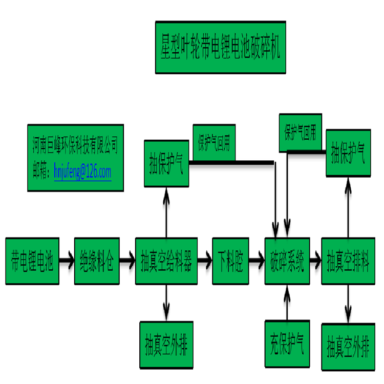
帶電鋰電池破碎設備原理:帶電電池經絕緣倉進閉風絕緣星型輪貧氧給料,帶電電池經Z腔至破室,Z腔防止物料反彈,破碎由惰性氣體的破室內處于貧氧或無氧的狀態,從而達到帶電破碎破室無氧狀(破室由惰性氣體提高電解液放電和揮發并阻止放電發熱效應),轉子刀與底刀把電池相切破,并起摩擦打散,碎后物料通過閉風隔氧進行外排。
版權所有:河南巨峰環保科技有限公司 豫公網安備 41910402000023號
top